nikoagge έγραψε:Καλησπέρα και καλή χρονιά! Όταν πάω να τρέξω το junit test μου εμφανίζει αυτό, τι να κάνω;
Έχει κάποια σχέση αυτό με το 5ο και 6ο post του topic αυτού; Έχεις δοκιμάσει αυτά που έχουν γραφτεί;
nikoagge έγραψε:Καλησπέρα και καλή χρονιά! Όταν πάω να τρέξω το junit test μου εμφανίζει αυτό, τι να κάνω;

?????
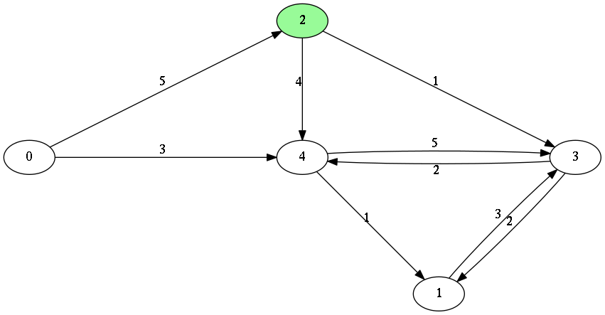
tasos123456 έγραψε:Γεια σας εχω το εξης θεματακι που φενεται στην εικονα.Γιατι μ λεει οτι περιμενει τιμη Nan αφου αν ειναι ο start node to result.nodeDistance[startNode]=0.0 .?????


Jkiller έγραψε:edit- Για όποιν ενδιαφέρεται από εκεί ανανεώνεις τις προσπάθειες σου.
Πως μπορώ να κάνω reset το τεστ για να ξαναδοκιμάσω;
Στο pdf αναφέρεται οτι γίνεται αν πατήσουμε "τέλος τεστ".
Αλλά βγαίνει αυτο. Να πατήσω υποβολή όλων και τέλος;

Γεια σας.Μηπως γινεται να μου πειτε λιγο τι ακριβως κανει η graph.existsEdge(0, 2); και η graph.getEdgeDistance(0, 2); .Δηλαδη οι παραμετροι τι ακριβως καννουν?Για να παω στον επομενο κομβο θα βαλω οπου 2 --> i και θα το αυξανω και οπου 0 startNode?


emmamatz έγραψε:Γιώργο δεν μπορώ να δω τα γραφήματα στην ερώτηση... Μέχρι πόσες προσπάθειες έχουμε για την εργασία;

Μέλη σε αυτή την Δ. Συζήτηση: Δεν υπάρχουν εγγεγραμμένα μέλη και 4 επισκέπτες