Σημειώσεις Φυσική 1 (2008-2009)

Διδάσκοντες: Χ. Ρούτση, Αν. Καθηγήτρια

Σημειώσεις Φυσική 1 (2008-2009)

Δημοσίευσηαπό Stokos » 10 Μαρ 2009, 19:51

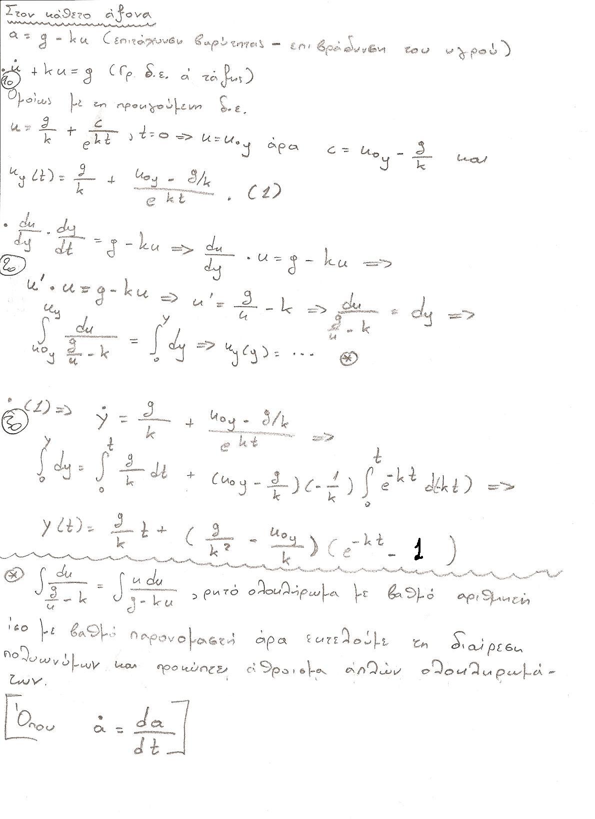
Λύση "άσκησης για το σπίτι" που δόθηκε στο πρώτο μάθημα.

Για τον οριζόντιο άξονα:
0002.jpg

Για το κατακόρυφο άξονα:
0003.jpg

(Απορώ πως ένας πρωτοετής υποτίθεται ότι έχει τις γνώσεις να λύσει τις διαφορικές εξισώσεις που προκύπτουν...)

Αν δε καταλαβαίνεται κάτι στη διαδικασία ή βρείτε κάποιο λάθος πείτε μου.
Τελευταία επεξεργασία από JimMichael και 27 Απρ 2009, 13:05, έχει επεξεργασθεί 1 φορά/ες συνολικά
Αιτία: Επεξεργασία bbcode
Stokos
 

Re: Σημειώσεις Φυσική 1 (2008-2009)

Δημοσίευσηαπό MNO » 11 Μαρ 2009, 15:10

Να'σαι καλα Stokos, τωρα αυτες ειναι για αυριο εχει ασκησεις το προγραμμα ή για την Δευτερα? ξερει κανεις?
MNO
Sr. Member
 
Δημοσιεύσεις: 408
Εγγραφή: 11 Μάιος 2008, 20:45
Φοιτητής ΗΜΜΥ: Ναι

Re: Σημειώσεις Φυσική 1 (2008-2009)

Δημοσίευσηαπό Stokos » 09 Απρ 2009, 12:17

Λοιπόν, εντός σαβ/κου θα ανεβούν ό,τι έχει κάνει η κ.Σεμιτέλου στο μάθημα ως τώρα, επίσης στο φωτοτυπάδικο "Πολύτυπο" υπάρχει ένα βιβλίο με λυμένες ασκήσεις Φυσικής 1 το οποίο έχει σταματήσει να μοιράζεται εδώ και 5 για όποιον θέλει να το βγάλει (Ψάξτε στο φάκελο του μαθήματος στο ράφι με τις σημειώσεις HMMY).
Stokos
 

Re: Σημειώσεις Φυσική 1 (2008-2009)

Δημοσίευσηαπό Stokos » 21 Ιουν 2009, 19:03

Από αύριο 22 Ιουνίου στο "Πολύτυπο" (το πάνω φωτοτυπάδικο δίπλα στο Gateu Sale δίπλα στο Παπασωτηρίου) θα βρίσκονται: προπέρσινες - περσινές και φετινές σημειώσεις από τα μαθήματα της κας Σεμιτέλου. Επίσης ψάξτε και για το βιβλίο με τις ασκήσεις που είπα στο παραπάνω post αν δε το έχετε πάρει ήδη.
Stokos
 

Re: Σημειώσεις Φυσική 1 (2008-2009)

Δημοσίευσηαπό Stokos » 23 Ιουν 2009, 09:29

Καταρχάς να ζητήσω ένα μεγάλο συγνώμη σε όσους πήγαν χθες και δε βρήκαν τις σημειώσεις, καθώς τελικά δε μπόρεσα λόγω ανωτέρας βίας να τις πάω.

Μόλις τώρα γύρισα από εκεί (πήγα από τις 9 το πρωί), οπότε από σήμερα 23 Ιουνίου στο "Πολύτυπο" (το πάνω φωτοτυπάδικο δίπλα στο Gateu Sale δίπλα στο Παπασωτηρίου) θα βρίσκονται: περσινές και φετινές σημειώσεις από τα μαθήματα της κας Σεμιτέλου. Οι σημειώσεις θα παραμείνουν εκεί μέχρι τη Παρασκευή το μεσημέρι και μετά θα αρχειοθετηθούν στο φάκελο για τη Φυσική 1, οπότε όσοι φοιτητές θέλουν να διαβάσουν για το Σεπτέμβριο ή για επόμενα έτη να τις ψάξουν εκεί.
Stokos
 

Μέλη σε σύνδεση

Μέλη σε αυτή την Δ. Συζήτηση: Δεν υπάρχουν εγγεγραμμένα μέλη και 2 επισκέπτες