Πρόοδοι ΣΑΕ ΙΙ [2009-2010]

Πρόοδοι ΣΑΕ ΙΙ [2009-2010]

Δημοσίευσηαπό megatron » 30 Μάιος 2010, 00:10

Για όποιον ενδιαφέρεται, ανακοινώθηκε στο eclass από τον καθηγήτη κ.Κοσματόπουλο, τα εξής για την δεύτερη πρόοδο:

1) Η 2η πρόοδος του μαθήματος θα διεξαχθεί την Τρίτη 8 Ιουνίου 2010 και ώρα
22:00 (μετά το μάθημα των ΣΑΕ ΙΙ). (-->Σχόλιο του editor: Ώρα 22:00 ?? :o ::) :P )
2) Για απορίες σχετικές με την πρόοδο, ώρες γραφείου ∆ευτέρα 7 Ιουνίου 2010,
ώρες 9:00-12:00.


Ύλη 2ης Προόδου
1. Από το Βιβλίο: Κεφάλαια 11.1-11.7
2. Από το αρχείο T1_Introduction_Realizations.pdf (e-class): όλα εκτός
σελίδες 29-33
3. Από το αρχείο T4_Lyapunov_Stability.pdf (e-class): σελίδες 1-12
4. Επίσης διαβάστε προσεκτικά τα θεωρητικά στοιχεία στο αρχείο
AskhshKosmatopoulos.pdf
Επιτρέπονται βιβλία και σημειώσεις κατά την διάρκεια της εξέτασης
Προσοχή: Το Αρχείο AskhshKosmatopoulos.pdf ανανεώνεται συνεχώς. Η
τελευταία ανανέωση θα είναι διαθέσιμη στο e-class την Πέμπτη 27 Μαΐου.


Το αρχείο AskhshKosmatopoulos.pdf, δίνεται παρακάτω και ως συνημμένο.

AskhshKosmatopoulos.pdf
(188.14 KiB) Έχει μεταφορτωθεί 1177 φορές
Άβαταρ μέλους
megatron
Hero Member
 
Δημοσιεύσεις: 979
Εγγραφή: 08 Απρ 2008, 17:46
Φοιτητής ΗΜΜΥ: Όχι

Re: Πρόοδοι ΣΑΕ ΙΙ [2009-2010]

Δημοσίευσηαπό Joey » 30 Μάιος 2010, 07:26

Το μάθημα των ΣΑΕ είναι 17:00-20:00. Ο κ. Κοσματόπουλος είχε πει στο προηγούμενο μάθημά του, οτι η πρόοδος θα γίνει μετά το μάθημα των ΣΑΕ, δηλαδή στις 20:00. Μάλλον έχει γίνει κάποιο λάθος στην ανακοίνωση!!
Άβαταρ μέλους
Joey
Jr. Member
 
Δημοσιεύσεις: 87
Εγγραφή: 21 Αύγ 2008, 12:18
Φοιτητής ΗΜΜΥ: Ναι

Re: Πρόοδοι ΣΑΕ ΙΙ [2009-2010]

Δημοσίευσηαπό kakalos » 23 Ιουν 2010, 13:24

ο καθηγητης ειχε πει οτι θα εβγαζε τις λυσεις των προοδων στο e-class αλλα που ειναι ?

μηπως τις ειπε μεσα στο μαθημα ?
Άβαταρ μέλους
kakalos
Jr. Member
 
Δημοσιεύσεις: 84
Εγγραφή: 12 Φεβ 2009, 13:28

Re: Πρόοδοι ΣΑΕ ΙΙ [2009-2010]

Δημοσίευσηαπό brera » 23 Ιουν 2010, 21:01

Έχουν ανακοινωθεί οι βαθμοί στο e-class στα Έγγραφα με τις Βαθμολογίες.
Καλά αποτελέσματα!! :D
Άβαταρ μέλους
brera
Γενικός Συντονιστής
 
Δημοσιεύσεις: 1328
Εγγραφή: 05 Φεβ 2008, 18:30
Φοιτητής ΗΜΜΥ: Ναι

Re: Πρόοδοι ΣΑΕ ΙΙ [2009-2010]

Δημοσίευσηαπό niki » 24 Ιουν 2010, 18:05

εχει κανεις τις λυσεις των θεματων που εβαλε στις προοδους??? ???
Άβαταρ μέλους
niki
Full Member
 
Δημοσιεύσεις: 158
Εγγραφή: 13 Μάιος 2008, 14:27
Φοιτητής ΗΜΜΥ: Ναι

Re: Πρόοδοι ΣΑΕ ΙΙ [2009-2010]

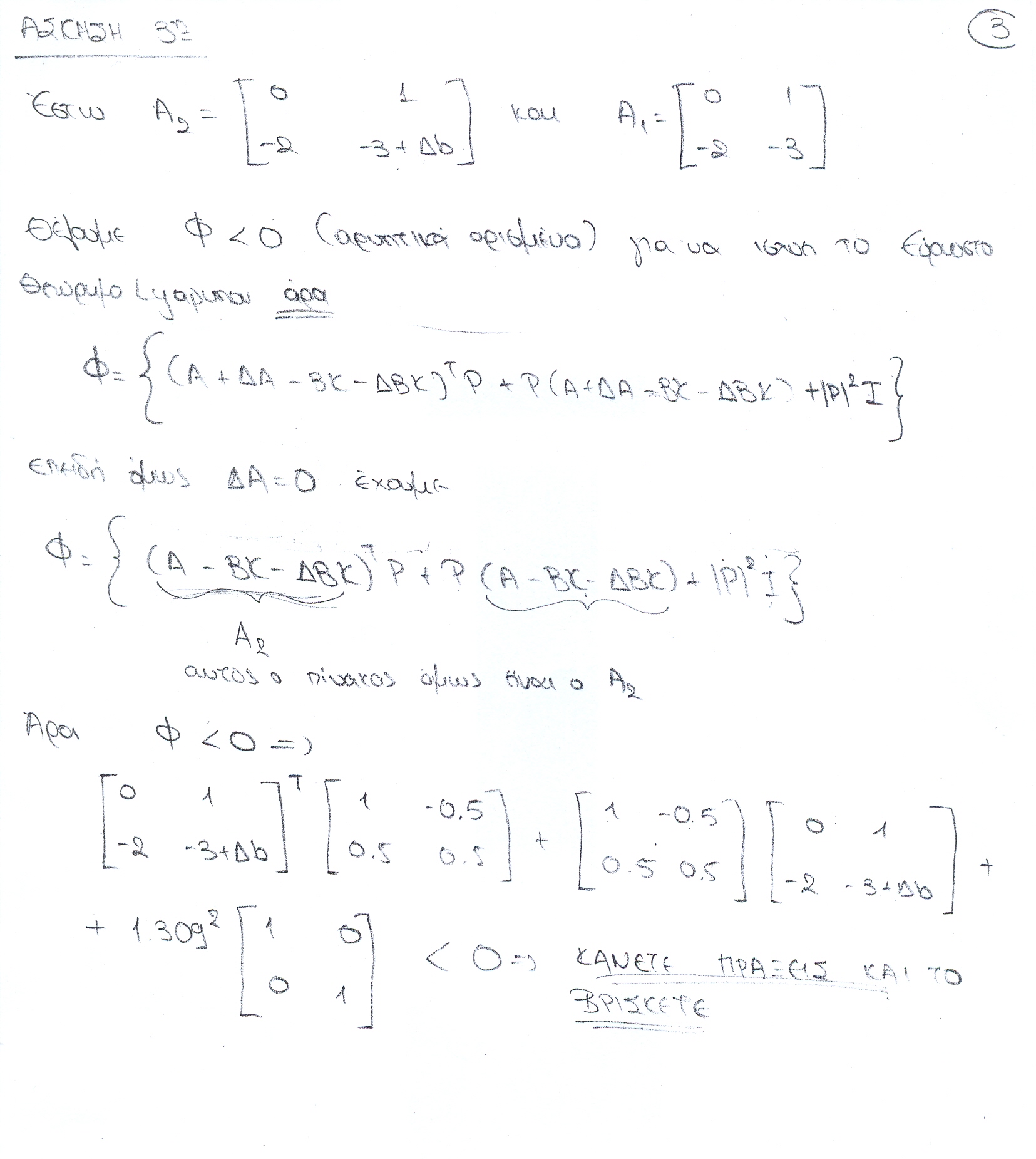
Δημοσίευσηαπό thms » 25 Ιουν 2010, 12:53

Έχω μόνο τη λύση του 3ου θέματος.
Συνημμένα
σάρωση.jpg
"Δεν χρειάζεται να βλέπεις όλη τη σκάλα, μόνο το πρώτο σκαλοπάτι." -- M. L. King, JR
Άβαταρ μέλους
thms
Newbie
 
Δημοσιεύσεις: 47
Εγγραφή: 06 Οκτ 2008, 12:48
Φοιτητής ΗΜΜΥ: Ναι

Re: Πρόοδοι ΣΑΕ ΙΙ [2009-2010]

Δημοσίευσηαπό niki » 25 Ιουν 2010, 13:59

thankssss :) :)
Άβαταρ μέλους
niki
Full Member
 
Δημοσιεύσεις: 158
Εγγραφή: 13 Μάιος 2008, 14:27
Φοιτητής ΗΜΜΥ: Ναι

Re: Πρόοδοι ΣΑΕ ΙΙ [2009-2010]

Δημοσίευσηαπό Pagouras » 28 Ιουν 2010, 13:55

Μπορει κανενας να seedαρει τα θεματα των προοδων ??
Άβαταρ μέλους
Pagouras
Sr. Member
 
Δημοσιεύσεις: 340
Εγγραφή: 04 Απρ 2008, 11:18

Re: Πρόοδοι ΣΑΕ ΙΙ [2009-2010]

Δημοσίευσηαπό megatron » 28 Ιουν 2010, 17:57

Pagouras έγραψε:Μπορει κανενας να seedαρει τα θεματα των προοδων ??


Τι εννοείς? Υπάρχουν εδώ και καιρό στα αρχεία του forum μας για να τα κατεβάσεις... :)
Άβαταρ μέλους
megatron
Hero Member
 
Δημοσιεύσεις: 979
Εγγραφή: 08 Απρ 2008, 17:46
Φοιτητής ΗΜΜΥ: Όχι

Re: Πρόοδοι ΣΑΕ ΙΙ [2009-2010]

Δημοσίευσηαπό Jamal » 28 Ιουν 2010, 18:52

Ποιο είναι το 11ο κεφάλαιο ρε παιδιά; Το βιβλίο πηγαίνει μεχρι το 10 ... Έχει αλλάξει το βιβλίο ;;
Άβαταρ μέλους
Jamal
Newbie
 
Δημοσιεύσεις: 20
Εγγραφή: 24 Φεβ 2008, 14:51
Φοιτητής ΗΜΜΥ: Ναι

Re: Πρόοδοι ΣΑΕ ΙΙ [2009-2010]

Δημοσίευσηαπό Pagouras » 28 Ιουν 2010, 19:00

megatron έγραψε:
Pagouras έγραψε:Μπορει κανενας να seedαρει τα θεματα των προοδων ??


Τι εννοείς? Υπάρχουν εδώ και καιρό στα αρχεία του forum μας για να τα κατεβάσεις... :)



Ουπς, δεν το ειχα προσεξει ....thnx
Άβαταρ μέλους
Pagouras
Sr. Member
 
Δημοσιεύσεις: 340
Εγγραφή: 04 Απρ 2008, 11:18

Re: Πρόοδοι ΣΑΕ ΙΙ [2009-2010]

Δημοσίευσηαπό Dimitrisgz » 28 Ιουν 2010, 19:08

Όποιος μπορεί ας βάλει αν έχει κάτι από λύσεις των θεμάτων.. θα βοηθούσε πολύ!
Dimitrisgz
Jr. Member
 
Δημοσιεύσεις: 74
Εγγραφή: 04 Δεκ 2009, 14:07
Φοιτητής ΗΜΜΥ: Ναι

Μέλη σε σύνδεση

Μέλη σε αυτή την Δ. Συζήτηση : Δεν υπάρχουν εγγεγραμμένα μέλη και 1 επισκέπτης

cron